0519-88372558
浏览数量: 13 作者: 精控电机 发布时间: 2025-10-16 来源: 本站
在智能物流与无人搬运领域中,AGV(Automated Guided Vehicle,自动导引车)凭借其高效、精准和可持续的运行特性,已成为智慧工厂和仓储系统的核心设备。而在AGV系统中,无刷直流电机(BLDC)是最关键的驱动部件之一,其转速与减速比的合理匹配直接决定了整车的运行性能、稳定性以及寿命。本文将从技术角度全面解析AGV无刷电机的转速与减速比匹配原则、计算方法及应用实例,帮助企业在选型与设计阶段做到精准匹配。
在AGV(自动导引车)的驱动系统中,**无刷直流电机(BLDC)**因其高效率、长寿命、低噪音以及可实现精确控制的特性,成为主流选择。AGV的运行环境通常复杂多变,包括平地、斜坡、弯道以及频繁启停的作业模式,因此对电机的转速性能提出了更高要求。
无刷电机的转速主要取决于以下三个因素:
电压(U):在负载一定的情况下,电机转速与输入电压成正比。
电机常数(Kv值):Kv值表示电机每输入1V电压所能达到的转速(rpm/V),Kv值越高,电机转速越快,但输出扭矩相对较低。
负载扭矩:随着负载增加,电机转速会略有下降,这是由于电机内部电流增加导致反电动势变化。
通常AGV电机的额定转速范围在1500~4000rpm之间,这一范围既能保证平稳启动,也能满足中速运行及加速需求。而电机的最高转速不宜超过额定转速的120%,以防止效率下降与温升过高。
不同类型的AGV根据用途与负载条件,对电机转速和扭矩的要求存在明显差异:
潜伏式AGV:常用于工厂物流线下方潜入式搬运,要求低速平稳启动、转向灵敏。此类AGV电机转速宜在2000~3000rpm,以保证定位精度与平稳性。
背负式AGV:用于搬运中小型物料,要求加速快、响应灵敏。推荐电机转速在2500~3500rpm,以实现较快的直线行驶。
叉车式AGV:需要提供强劲的起动力矩与爬坡能力,对转速要求不高,一般在1500~2500rpm,但输出扭矩需较大。
牵引式AGV:用于长距离运输或牵引多车作业,对速度和续航要求较高,电机转速可达3000~4000rpm。
AGV无刷电机的性能设计需要在“速度”与“扭矩”之间取得平衡。
若追求高速运行,需选择高Kv值电机,但输出扭矩会相对减小;
若要求高负载驱动能力,则应选用低Kv值电机,配合合理的减速比提升扭矩输出。
因此,合理的转速—减速比匹配至关重要:
电机应在其**高效率区间(额定转速的70%~90%)**运行,以确保能耗最低、温升最小,同时保证AGV的加速性能与运行稳定性。
AGV系统一般采用闭环控制方式(霍尔传感器或编码器反馈),确保电机在不同负载与环境条件下保持恒速运行。
稳定的转速控制能有效避免以下问题:
货物在启动或制动过程中产生晃动;
AGV在斜坡或转弯时出现速度波动;
导航系统定位误差增加,影响行驶路径精度。
因此,AGV无刷电机在设计与应用时,应重点关注其转速调节范围、动态响应速度以及稳速精度。一般工业级AGV要求稳速精度控制在±1%,而高端智能物流AGV可达±0.5%。
总的来说,AGV无刷电机的转速特性不仅影响行驶速度,还决定整车的启动平稳性、控制精度与能效表现。只有在深入理解各类AGV的运行特性后,才能合理选择电机参数,为后续的减速比匹配与系统优化奠定基础。
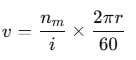
电机转速、车轮半径与车速之间的关系可由以下公式描述:

其中:
v:AGV运行速度(m/s)
Nm:电机转速(rpm)
i:减速比
r:驱动轮半径(m)
根据公式可知,在确定车轮尺寸与目标速度后,减速比与电机转速呈反比关系。减速比越大,输出扭矩越大,但车速下降。
假设目标车速为1.5m/s,车轮半径为0.075m,电机额定转速为3000rpm,则减速比计算如下:

因此,选择5:1~6:1的减速比较为合适。
AGV的负载重量及驱动轮摩擦力决定了电机输出扭矩。
驱动扭矩计算公式:

其中:
F:AGV行驶阻力(包括滚动阻力、坡度阻力等)
η:减速机效率(一般取0.9~0.95)
通过该公式可验证所选电机与减速比能否满足起步与爬坡扭矩需求。
减速比过大虽然能提高扭矩,但会造成:
能量损失增加,系统效率下降;
噪音与振动增强;
电机运行区间受限。
因此,应在5:1~15:1范围内优化设计,使电机在高效率区间(额定转速的70%~90%)运行。
在AGV驱动系统设计中,无刷电机的转速与减速机的减速比匹配是实现理想驱动性能的关键环节。不同类型的AGV在载重能力、运行速度、工作场景及控制精度上各有差异,因此其减速比选择策略也应有所不同。以下将根据AGV的典型类型,对适宜的减速比范围与匹配逻辑进行详细分析。
典型特点:结构紧凑、载重中等、运行路径固定、需要精准定位和低速平稳控制。
主要任务:潜入料车底部进行顶升搬运,常在狭窄空间和高密度产线中运行。
推荐电机转速:2500~3500 rpm
建议减速比:8:1 ~ 12:1
输出特性:低速高扭矩,定位精度高,起停平稳
需保证低速运行时电机处于高效率区间;
减速比不宜过小,否则在顶升阶段扭矩不足;
可配合行星减速机或蜗轮蜗杆减速机,兼顾高精度与自锁能力。
典型应用场景:电子制造、汽车零部件产线、半导体工厂。
典型特点:载重量大(可达3吨以上)、运行速度较慢、经常需要起步、爬坡和精准定位。
主要任务:替代人工叉车完成货物搬运、上架、堆垛等重载作业。
推荐电机转速:2000~3000 rpm
建议减速比:12:1 ~ 20:1
输出特性:超大启动扭矩,强制制动能力优越
减速比应以扭矩输出优先,速度次要;
使用高精度行星减速机或双级齿轮减速机构;
需配备电磁制动器或再生制动系统以确保安全。
典型应用场景:仓储物流中心、大型工厂仓库、冷链运输系统。
典型特点:牵引负载范围广(500~2000kg),运行距离长,要求速度稳定且能耗低。
主要任务:牵引多台货车、托盘或物料小车,适合中长距离运输。
推荐电机转速:2500~4000 rpm
建议减速比:6:1 ~ 10:1
输出特性:中速中扭矩,长时间连续运行性能优良
需兼顾牵引力与行驶效率,减速比过大将降低续航;
优选高效率的行星减速机或斜齿轮减速机;
建议采用风冷或强制散热结构,防止长时间运行导致温升过高。
典型应用场景:汽车制造总装线、物料分拣区、机场物流系统。
典型特点:自带承载平台,灵活度高,适合中小负载搬运,常用于柔性生产线。
主要任务:承载小型料箱或工装板,实现多工位自动搬运。
推荐电机转速:3000~4000 rpm
建议减速比:5:1 ~ 8:1
输出特性:响应速度快、转向灵活、适合中速运行
减速比需兼顾速度与加速性能;
优化车轮半径与转向控制算法以提高灵敏度;
适合采用小型高效齿轮减速机或一体式驱动轮结构。
典型应用场景:3C电子装配、智能工厂、医疗物流配送。
典型特点:左右双轮独立驱动,通过转速差实现转向,控制灵活、精度高。
主要任务:快速移动、精准定位、原地旋转,适用于复杂路径环境。
推荐电机转速:3000~4500 rpm
建议减速比:5:1 ~ 8:1
输出特性:响应迅速,转向控制灵敏
需确保左右轮扭矩输出一致,防止偏差;
减速比需匹配电机惯量与PID控制参数;
选用低背隙高精度减速机以提高控制精度。
典型应用场景:智能仓储机器人、自动分拣系统、服务机器人底盘。
典型特点:单车负载可达5~20吨,用于运输大型工件或模具。
主要任务:重载搬运、高扭矩驱动、低速稳定行驶。
推荐电机转速:1500~2500 rpm
建议减速比:15:1 ~ 25:1
输出特性:极高扭矩输出,低速平稳驱动
采用多电机同步驱动以分摊负载;
配合高减速比行星齿轮箱,确保输出刚性;
加强散热设计与冗余保护,防止过载烧毁。
典型应用场景:钢铁厂、汽车模具搬运、造船装配车间。
低载高速型AGV → 采用小减速比(5:1~8:1),以提高效率和灵活性;
中载多功能型AGV → 采用中等减速比(8:1~12:1),兼顾速度与扭矩;
重载低速型AGV → 采用高减速比(12:1~25:1),以确保驱动力与安全性;
转向控制精度高的AGV → 优先选用高精度、低背隙行星减速机,以保证同步与响应精度。
通过合理选择减速比范围,不仅能优化电机效率与寿命,还能大幅提升AGV在不同场景下的加速性能、能耗表现与定位精度,实现系统的整体性能最优。
在AGV驱动系统中,减速机的类型与结构设计对电机性能的释放、传动效率及整车运行稳定性有着直接影响。即使电机参数匹配得当,若减速机选择不合理,也可能导致效率下降、噪音增大、控制响应滞后等问题。因此,了解不同减速机类型的特性与适配场景,是实现AGV电机转速与扭矩完美匹配的关键环节。
行星减速机是目前AGV中应用最广泛的传动方案,具有**高精度、高承载能力、高传动效率(>95%)**等优点。
行星轮、太阳轮与内齿圈形成同心结构,动力分布均匀,能实现多齿啮合,承载力强。
由于其对称分布的机械结构,使振动小、输出稳定,非常适合高精度定位控制。
高传动效率,能最大限度减少能耗损失;
可实现较大减速比(一般为3:1~20:1),扭矩放大能力强;
体积小、重量轻,适合AGV紧凑型设计;
背隙小(可低至3弧分),适合差速驱动AGV、潜伏式AGV等高控制精度场景。
成本较高,对润滑与装配精度要求严格;若过载运行,会引起齿轮磨损或噪音增大。
高精度定位、高响应速度场合,如潜伏式AGV、差速驱动AGV、仓储机器人等。
蜗轮蜗杆减速机以其平稳安静、具备自锁能力的特性,在部分AGV系统中仍占有一席之地,尤其适合对安全性要求较高的应用。
采用蜗杆与蜗轮啮合传动,传动比可高达20:1~60:1。蜗杆为斜齿螺旋结构,可在有限空间内实现大减速比。
自锁特性强,在无电状态下能防止车辆溜坡;
运转平稳、噪音低;
成本相对较低,结构简单。
传动效率较低(一般为70%~85%);
长时间运行易发热,需良好散热设计;
不适合频繁正反转控制,因摩擦磨损较快。
适合叉车式AGV、重载搬运AGV等需防滑、定位保持的工况。特别适用于坡道作业或静态停放时需要保持位置的系统。
平行轴减速机因其结构简单、维护方便、成本低廉,常用于中小型AGV的驱动系统中。
由两级或三级平行布置的直齿或斜齿轮组成,传动路线简单,安装灵活。
成本较低,制造工艺成熟;
传动效率较高(约90%~94%);
输出扭矩较稳定,适合轻载工况;
安装结构灵活,便于与无刷电机一体化集成。
背隙相对较大,不适用于高精度控制;
承载能力不如行星减速机;
在高扭矩输出时噪音和磨损较明显。
适用于轻载背负式AGV、小型仓储搬运车等对定位精度要求不高的应用场景。
摆线针轮减速机以其高减速比、抗冲击性强、寿命长而著称,适合极端工况或高冲击载荷的AGV系统。
通过偏心结构驱动摆线轮与针齿啮合传动,输入与输出同轴,传动紧凑。
承载能力强,抗冲击性能优越;
寿命长、运行平稳;
可实现超高减速比(最大可达87:1以上)。
制造成本高,维护复杂;
背隙略大,不适合高响应控制;
传动效率略低于行星减速机。
适合重载AGV、低速高扭矩搬运车、模具运输车等高负载场合。
随着AGV小型化、模块化趋势的发展,电机+减速机+车轮一体化驱动单元成为主流选择之一。
该结构在保持高集成度的同时,大幅减少了安装空间和布线复杂度。
模块化安装,节省空间;
可直接输出驱动力,无需额外联轴器;
可根据AGV重量和速度定制减速比;
减少机械传动链,提高系统可靠性。
维修更换成本较高;
一旦内部损坏,需整体更换;
散热性能受空间限制。
轻载差速AGV、小型物流机器人、医疗自动配送车等对空间和灵活性要求较高的应用。
| 减速机类型 | 传动效率 | 扭矩特性 | 背隙精度 | 成本水平 | 推荐AGV类型 |
|---|---|---|---|---|---|
| 行星减速机 | ★★★★★ | ★★★★☆ | ★★★★★ | ★★★★☆ | 潜伏式 / 差速驱动型 |
| 蜗轮蜗杆减速机 | ★★★☆☆ | ★★★★★ | ★★★☆☆ | ★★★☆☆ | 叉车式 / 重载型 |
| 平行轴齿轮减速机 | ★★★★☆ | ★★★☆☆ | ★★★☆☆ | ★★☆☆☆ | 背负式 / 轻载型 |
| 摆线针轮减速机 | ★★★★☆ | ★★★★★ | ★★★☆☆ | ★★★★☆ | 重载 / 特殊工况型 |
| 一体化驱动轮系统 | ★★★★☆ | ★★★☆☆ | ★★★★☆ | ★★★☆☆ | 小型 / 智能仓储型 |
综上所述,减速机的类型不仅决定传动效率,还影响AGV的响应速度、能耗水平与控制精度。在AGV设计中,应根据载荷、速度、控制要求及成本预算,综合选择最适合的减速机类型,实现电机与整车性能的最优匹配。
假设目标参数如下:
AGV总重:1000kg
驱动轮直径:150mm(r=0.075m)
最大速度:1.5m/s
坡度要求:3°
电机额定转速:3000rpm
根据车速公式:

取安全系数后选用8:1减速机,可兼顾启动扭矩与速度。
假设滚动阻力系数为0.02,坡度阻力为3°:


若采用额定扭矩10 N·m的无刷电机,则可满足运行及加速需求,匹配合理。
在AGV系统设计中,无刷电机与减速机的匹配优化是保证整车性能、延长设备寿命以及提升能效的核心环节。合理匹配不仅涉及理论计算,还需要结合实际工况、控制策略和运行环境进行综合设计。以下从工程实践角度提出优化匹配的关键建议。
原理:高转速电机在减速机作用下,可以在输出端获得更高的扭矩,同时保持较低的电流消耗和更佳的效率。
电机额定转速尽量在目标车速所需转速的1.5~2倍范围内选择;
减速比选择中等值,避免过大减速比导致效率降低和电机低速区热量积累。
应用效果:提高整车运行效率,延长电机及减速机寿命,降低能耗。
原理:无刷电机效率随转速变化,在低速和超高速区域效率下降明显。
设计时确保电机在额定转速的**70%~90%**范围内运行;
避免过低转速导致散热不良、过高转速产生噪音与振动。
应用效果:优化能效比,保证AGV在连续作业中的温升可控。
原理:车轮半径与减速比直接决定AGV的线速度和驱动力输出。
在减速比设计阶段充分考虑轮径大小和整车目标速度;
小轮径配大减速比可提高扭矩,但速度受限;大轮径配小减速比可提升速度,但扭矩不足。
应用效果:实现扭矩与速度的平衡,保证启动、爬坡与转向性能。
原理:理论计算无法完全覆盖实际工况,AGV在起停、转向及载重变化时动态特性复杂。
使用MATLAB/Simulink、ADAMS或多体动力学软件进行动力学仿真;
模拟不同负载、不同坡度和加减速情况,验证减速比和电机匹配效果;
根据仿真结果调整减速比、电机选型或轮径尺寸。
应用效果:提前发现潜在问题,减少样机调试成本,提高系统可靠性。
原理:减速机惯量和背隙会影响闭环控制系统的响应速度和稳定性。
对高精度AGV采用低背隙、高刚性减速机;
配合速度闭环和扭矩闭环控制算法,提高动态响应性能;
在高减速比方案中优化PID或自适应控制参数,避免振荡或过冲。
应用效果:提升AGV加速响应和制动精度,减少运行误差,保证导航精度。
原理:温度、湿度、灰尘及负载波动都会影响电机与减速机性能。
高温或连续作业环境选择大风冷或强制散热电机;
多尘或湿滑环境采用密封性强、润滑可靠的减速机;
重载或频繁启停环境,增加冗余功率和安全系数。
应用效果:保证AGV在复杂环境中稳定运行,延长关键零部件寿命。
原理:随着AGV使用年限增加,负载条件、摩擦磨损及控制系统参数可能发生变化。
定期检测电机温升、减速机背隙、振动和噪声;
根据使用数据进行匹配优化和参数调整;
在升级或换型时,结合现有数据进行电机和减速比重新匹配。
应用效果:保证长期高性能运行,减少维护成本和停机时间。
优化AGV无刷电机与减速机匹配不仅是理论计算的问题,更是一个结合车辆动力学、控制策略、环境条件与长期运维的综合工程问题。通过合理选择电机转速、减速比、轮径及控制策略,并结合仿真验证与现场调试,可以实现以下目标:
提升整车运行效率与加速性能
优化能耗,延长电机和减速机寿命
提高定位精度和控制响应速度
降低噪音、振动及维护成本
科学的匹配方案是AGV高性能运行与长期稳定作业的基础保障。
AGV无刷电机的转速与减速比匹配,是一项兼顾动力学、控制学与机械传动学的系统工程。只有在深入理解AGV应用场景与运行参数的基础上,科学选取减速比与电机参数,才能在效率、寿命与成本之间取得理想平衡。精准匹配不仅提升整车性能,更能为企业带来长期的维护与能耗收益。
地址:江苏省常州市武进区湖塘镇湖塘科技产业园工业坊A2栋西侧
电话:0519-88372558
手机/微信:18761150726
电子邮件:sales@jkongmotor.com